Официальное опубликование правовых актов
ОФИЦИАЛЬНОЕ ОПУБЛИКОВАНИЕ
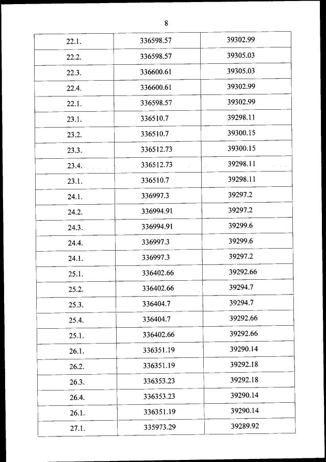
Приказ Министерства природных ресурсов и экологии Российской Федерации от 28.10.2022 № 736
"Об утверждении Положения о национальном парке "Шушенский бор"
(Зарегистрирован 16.03.2023 № 72607)
Номер опубликования: 0001202303170005
Дата опубликования: 17.03.2023
Страница №23 из 238:
Увеличить