Официальное опубликование правовых актов
ОФИЦИАЛЬНОЕ ОПУБЛИКОВАНИЕ
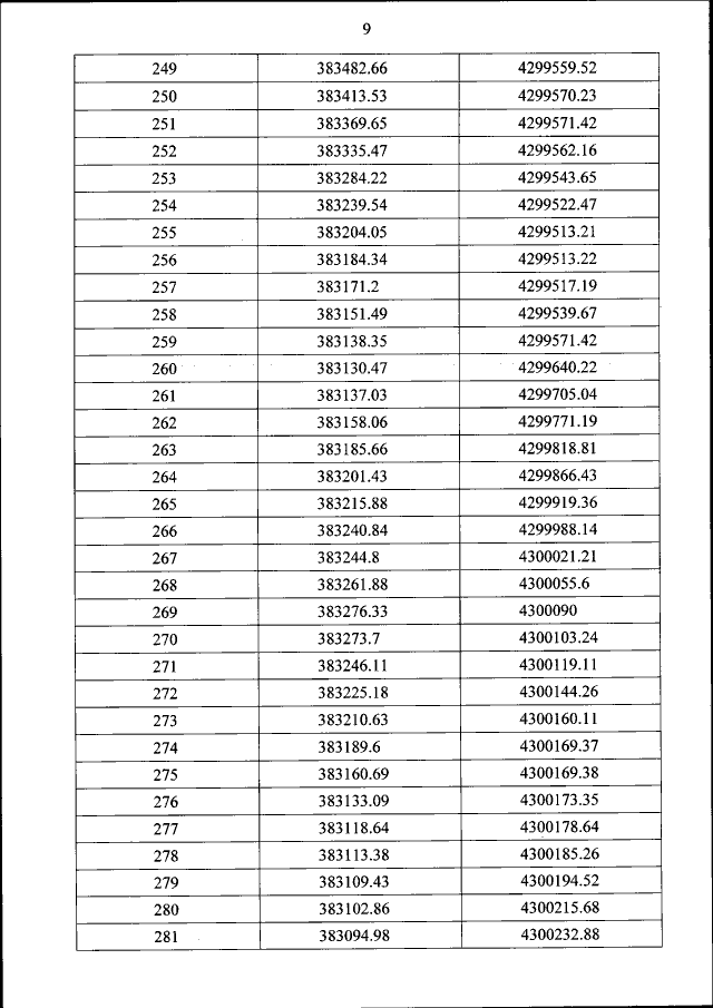
Приказ Министерства природных ресурсов и экологии Российской Федерации от 27.01.2023 № 48
"Об утверждении Положения о государственном природном заказнике федерального значения "Хингано-Архаринский"
(Зарегистрирован 01.03.2023 № 72489)
Номер опубликования: 0001202303020006
Дата опубликования: 02.03.2023
Страница №17 из 114:
Увеличить