Официальное опубликование правовых актов
ОФИЦИАЛЬНОЕ ОПУБЛИКОВАНИЕ
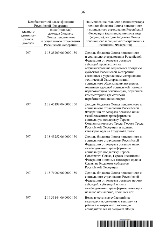
Постановление Правительства Российской Федерации от 24.01.2023 № 86
"О перечне главных администраторов доходов бюджета Фонда пенсионного и социального страхования Российской Федерации"
Номер опубликования: 0001202301260017
Дата опубликования: 26.01.2023
Страница №39 из 45:
Увеличить