Официальное опубликование правовых актов
ОФИЦИАЛЬНОЕ ОПУБЛИКОВАНИЕ
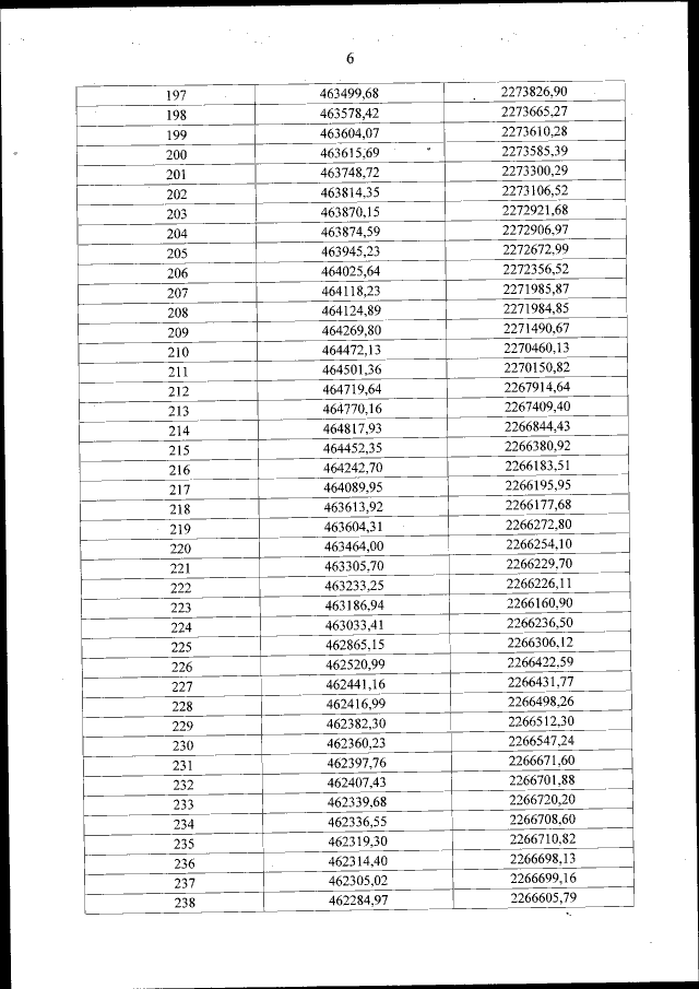
Приказ Министерства природных ресурсов и экологии Российской Федерации от 09.12.2022 № 860
"Об утверждении Положения о Хоперском государственном природном заповеднике"
(Зарегистрирован 19.01.2023 № 72070)
Номер опубликования: 0001202301200011
Дата опубликования: 20.01.2023
Страница №15 из 59:
Увеличить