Официальное опубликование правовых актов
ОФИЦИАЛЬНОЕ ОПУБЛИКОВАНИЕ
Приказ Министерства природных ресурсов и экологии Российской Федерации от 09.12.2022 № 861
"Об утверждении Положения о государственном природном заповеднике "Медвежьи острова"
(Зарегистрирован 19.01.2023 № 72069)
Номер опубликования: 0001202301200010
Дата опубликования: 20.01.2023
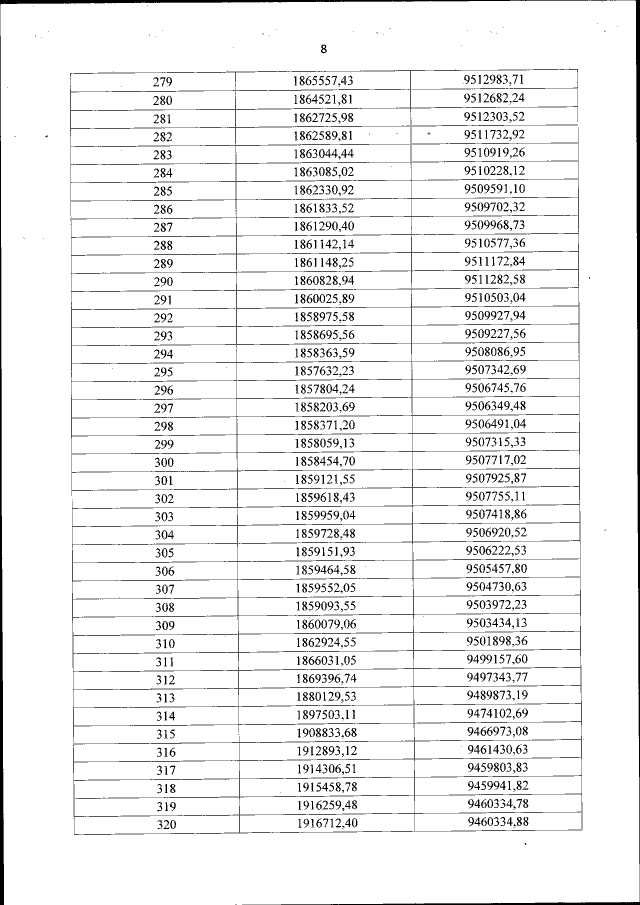
Страница №17 из 23:
Увеличить