Официальное опубликование правовых актов
ОФИЦИАЛЬНОЕ ОПУБЛИКОВАНИЕ
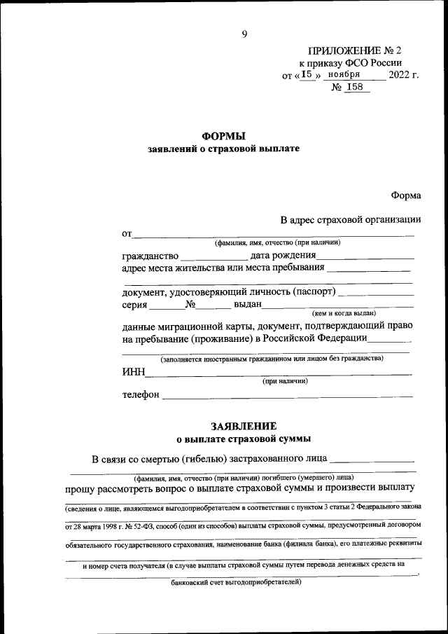
Приказ Федеральной службы охраны Российской Федерации от 15.11.2022 № 158
"Об утверждении Порядка оформления документов, необходимых для принятия решения о выплате страховой суммы застрахованным по обязательному государственному страхованию жизни и здоровья военнослужащим органов государственной охраны и гражданам, призванным на военные сборы в органы государственной охраны"
(Зарегистрирован 14.12.2022 № 71518)
Номер опубликования: 0001202212140031
Дата опубликования: 14.12.2022
Страница №9 из 16:
Увеличить