Официальное опубликование правовых актов
ОФИЦИАЛЬНОЕ ОПУБЛИКОВАНИЕ
Приказ Министерства природных ресурсов и экологии Российской Федерации от 12.07.2022 № 471
"Об утверждении Положения о национальном парке "Русский Север"
(Зарегистрирован 03.11.2022 № 70819)
Номер опубликования: 0001202211030021
Дата опубликования: 03.11.2022
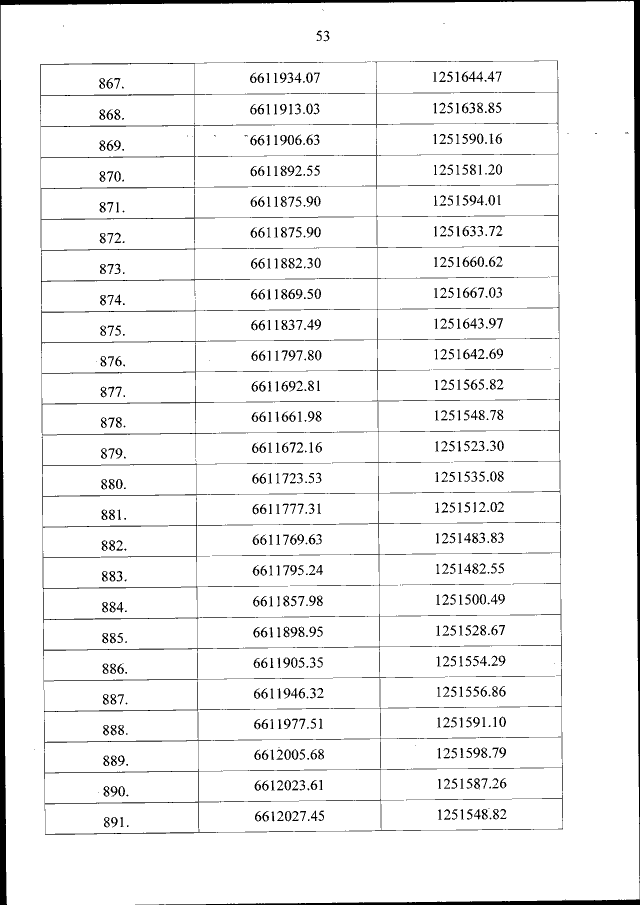
Страница №54 из 189:
Увеличить