Официальное опубликование правовых актов
ОФИЦИАЛЬНОЕ ОПУБЛИКОВАНИЕ
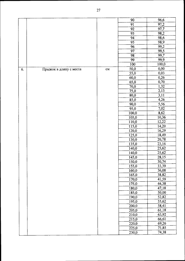
Приказ Министерства спорта Российской Федерации от 17.09.2022 № 735
"Об утверждении федерального стандарта спортивной подготовки по виду спорта "велосипедный спорт"
(Зарегистрирован 24.10.2022 № 70670)
Номер опубликования: 0001202210250004
Дата опубликования: 25.10.2022
Страница №27 из 79:
Увеличить