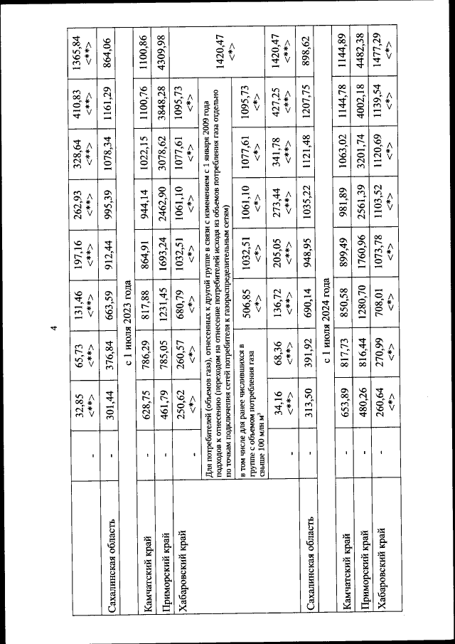
Приказ Федеральной антимонопольной службы от 08.09.2022 № 620/22
"Об утверждении тарифов на услуги по транспортировке газа по газораспределительным сетям АО "Газпром газораспределение Дальний Восток" на территории Камчатского края, Приморского края, Хабаровского края и Сахалинской области"
(Зарегистрирован 07.10.2022 № 70434)
"Об утверждении тарифов на услуги по транспортировке газа по газораспределительным сетям АО "Газпром газораспределение Дальний Восток" на территории Камчатского края, Приморского края, Хабаровского края и Сахалинской области"
(Зарегистрирован 07.10.2022 № 70434)
Номер опубликования: 0001202210070067
Дата опубликования:
07.10.2022
