Приказ Федерального агентства по рыболовству от 27.06.2022 № 346
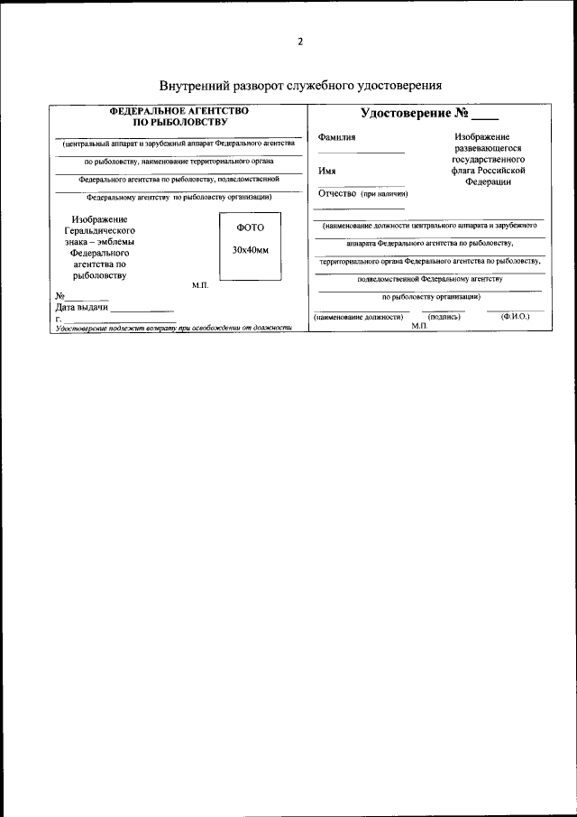
"Об утверждении образца служебного удостоверения для федеральных государственных гражданских служащих центрального и зарубежного аппаратов Федерального агентства по рыболовству, федеральных государственных гражданских служащих и работников, замещающих должности, не являющиеся должностями федеральной государственной гражданской службы, территориальных органов Федерального агентства по рыболовству, а также для работников подведомственных Федеральному агентству по рыболовству организаций"
(Зарегистрирован 05.10.2022 № 70385)
"Об утверждении образца служебного удостоверения для федеральных государственных гражданских служащих центрального и зарубежного аппаратов Федерального агентства по рыболовству, федеральных государственных гражданских служащих и работников, замещающих должности, не являющиеся должностями федеральной государственной гражданской службы, территориальных органов Федерального агентства по рыболовству, а также для работников подведомственных Федеральному агентству по рыболовству организаций"
(Зарегистрирован 05.10.2022 № 70385)
Номер опубликования: 0001202210050020
Дата опубликования:
05.10.2022
