Официальное опубликование правовых актов
ОФИЦИАЛЬНОЕ ОПУБЛИКОВАНИЕ
Приказ Министерства природных ресурсов и экологии Российской Федерации от 30.05.2022 № 382
"Об утверждении Положения о государственном природном заповеднике "Басеги"
(Зарегистрирован 19.09.2022 № 70147)
Номер опубликования: 0001202209200002
Дата опубликования: 20.09.2022
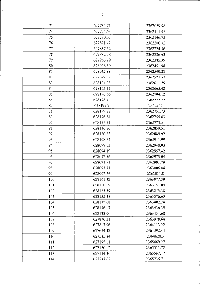
Страница №12 из 27:
Увеличить