Официальное опубликование правовых актов
ОФИЦИАЛЬНОЕ ОПУБЛИКОВАНИЕ
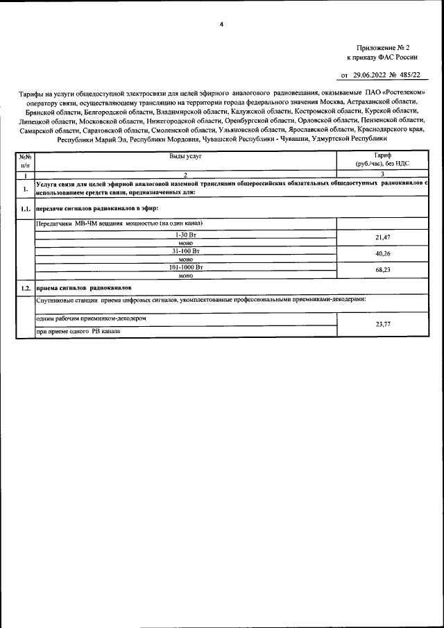
Приказ Федеральной антимонопольной службы от 29.06.2022 № 485/22
"Об утверждении тарифов на услуги общедоступной электросвязи для целей эфирного аналогового радиовещания, оказываемые ПАО "Ростелеком" оператору связи, осуществляющему трансляцию"
(Зарегистрирован 15.09.2022 № 70098)
Номер опубликования: 0001202209160011
Дата опубликования: 16.09.2022
Страница №4 из 9:
Увеличить