Приказ Федеральной антимонопольной службы от 29.06.2022 № 486/22
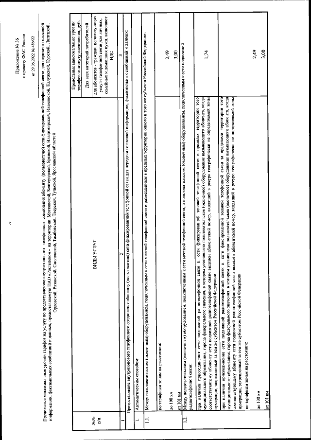
"Об утверждении предельных максимальных уровней тарифов на услуги местной телефонной связи, услугу по предоставлению внутризонового телефонного соединения абоненту (пользователю) сети фиксированной телефонной связи для передачи голосовой информации, факсимильных сообщений и данных и тарифов на услугу по передаче внутренней телеграммы, предоставляемые ПАО "Ростелеком"
(Зарегистрирован 15.09.2022 № 70099)
"Об утверждении предельных максимальных уровней тарифов на услуги местной телефонной связи, услугу по предоставлению внутризонового телефонного соединения абоненту (пользователю) сети фиксированной телефонной связи для передачи голосовой информации, факсимильных сообщений и данных и тарифов на услугу по передаче внутренней телеграммы, предоставляемые ПАО "Ростелеком"
(Зарегистрирован 15.09.2022 № 70099)
Номер опубликования: 0001202209160009
Дата опубликования:
16.09.2022
