Официальное опубликование правовых актов
ОФИЦИАЛЬНОЕ ОПУБЛИКОВАНИЕ
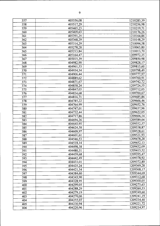
Приказ Министерства природных ресурсов и экологии Российской Федерации от 27.04.2022 № 306
"Об установлении границ охранной зоны национального парка "Куршская коса" по границе с акваторией Балтийского моря, а также об утверждении Положения о данной охранной зоне"
(Зарегистрирован 02.09.2022 № 69921)
Номер опубликования: 0001202209050008
Дата опубликования: 05.09.2022
Страница №10 из 36:
Увеличить