Приказ Министерства культуры Российской Федерации от 11.05.2022 № 708
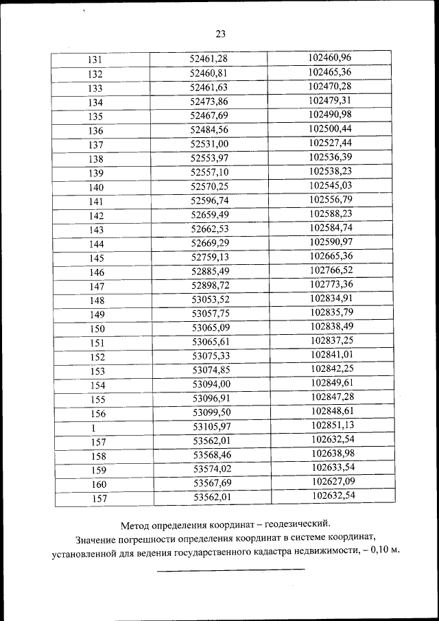
"О включении выявленного объекта культурного наследия "Здание караулки № 4", 1881 г. (Ленинградская область, Гатчинский муниципальный район, Гатчинское городское поселение, г. Гатчина, Красноармейский пр., д. 1, строение 4) в единый государственный реестр объектов культурного наследия (памятников истории и культуры) народов Российской Федерации в качестве объекта культурного наследия федерального значения в составе объекта культурного наследия федерального значения "Ансамбль Гатчинского дворца и парка", 1766-1892 гг. (Ленинградская область, Гатчинский район, г. Гатчина, Дворцовый парк) и утверждении границ его территории"
(Зарегистрирован 01.09.2022 № 69879)
"О включении выявленного объекта культурного наследия "Здание караулки № 4", 1881 г. (Ленинградская область, Гатчинский муниципальный район, Гатчинское городское поселение, г. Гатчина, Красноармейский пр., д. 1, строение 4) в единый государственный реестр объектов культурного наследия (памятников истории и культуры) народов Российской Федерации в качестве объекта культурного наследия федерального значения в составе объекта культурного наследия федерального значения "Ансамбль Гатчинского дворца и парка", 1766-1892 гг. (Ленинградская область, Гатчинский район, г. Гатчина, Дворцовый парк) и утверждении границ его территории"
(Зарегистрирован 01.09.2022 № 69879)
Номер опубликования: 0001202209010008
Дата опубликования:
01.09.2022
