Официальное опубликование правовых актов
ОФИЦИАЛЬНОЕ ОПУБЛИКОВАНИЕ
Приказ Министерства природных ресурсов и экологии Российской Федерации от 27.05.2022 № 371
"Об утверждении методик количественного определения объемов выбросов парниковых газов и поглощений парниковых газов"
(Зарегистрирован 29.07.2022 № 69451)
Номер опубликования: 0001202207290034
Дата опубликования: 29.07.2022
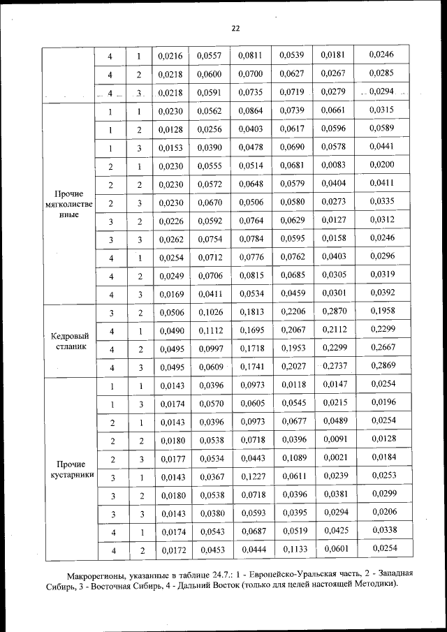
Страница №105 из 179:
Увеличить