Официальное опубликование правовых актов
ОФИЦИАЛЬНОЕ ОПУБЛИКОВАНИЕ
Приказ Министерства промышленности и торговли Российской Федерации от 01.06.2022 № 2217
"Об установлении приаэродромной территории аэродрома экспериментальной авиации Ржев"
(Зарегистрирован 26.07.2022 № 69400)
Номер опубликования: 0001202207260031
Дата опубликования: 26.07.2022
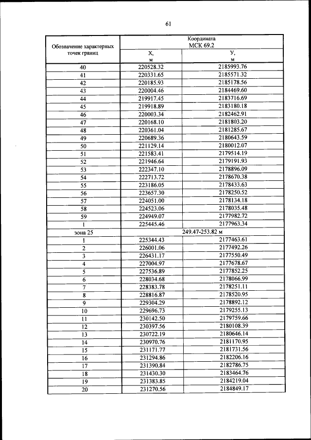
Страница №63 из 134:
Увеличить