Официальное опубликование правовых актов
ОФИЦИАЛЬНОЕ ОПУБЛИКОВАНИЕ
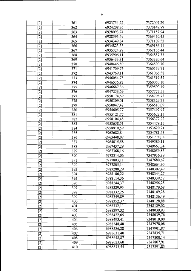
Приказ Министерства природных ресурсов и экологии Российской Федерации от 09.08.2021 № 547
"Об установлении границ охранной зоны Печоро-Илычского государственного природного биосферного заповедника, а также об утверждении Положения о данной охранной зоне"
(Зарегистрирован 07.04.2022 № 68117)
Номер опубликования: 0001202204070045
Дата опубликования: 07.04.2022
Страница №10 из 162:
Увеличить