Официальное опубликование правовых актов
ОФИЦИАЛЬНОЕ ОПУБЛИКОВАНИЕ
Приказ Министерства культуры Российской Федерации от 27.10.2021 № 1740
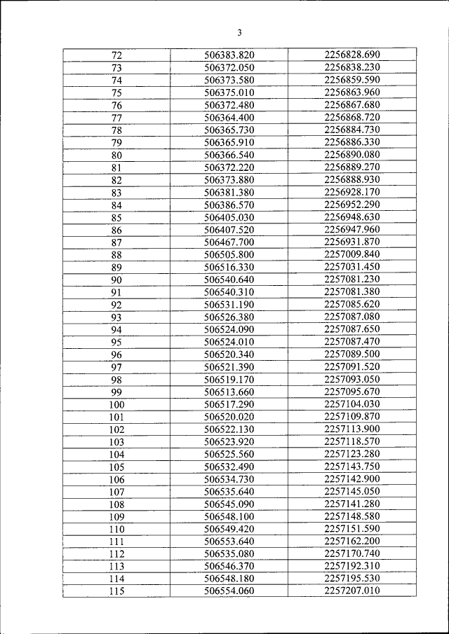
"О включении выявленного объекта культурного наследия "Родина В.И.Ленина" в единый государственный реестр объектов культурного наследия (памятников истории и культуры) народов Российской Федерации в качестве объекта культурного наследия федерального значения "Родина В.И.Ленина"‚ ХIХ - ХХ вв. (г. Ульяновск) и утверждении границ его территории"
(Зарегистрирован 21.02.2022 № 67394)
Номер опубликования: 0001202202210042
Дата опубликования: 21.02.2022
Страница №30 из 38:
Увеличить