Официальное опубликование правовых актов
ОФИЦИАЛЬНОЕ ОПУБЛИКОВАНИЕ
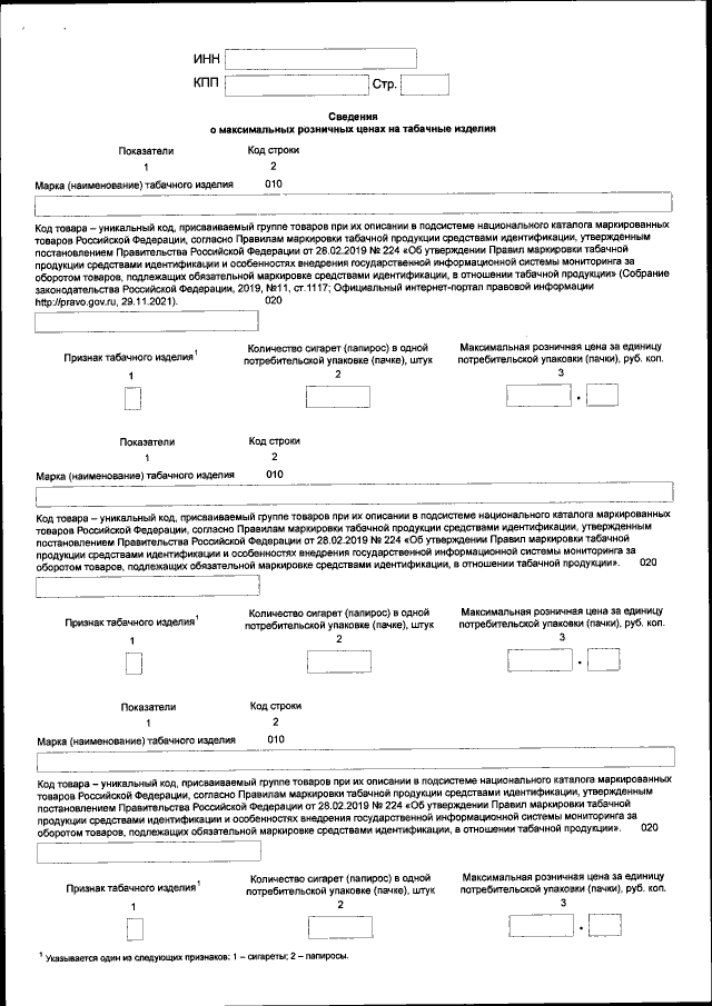
Приказ Федеральной налоговой службы от 12.01.2022 № ЕД-7-3/7@
"Об утверждении формы уведомления о максимальных розничных ценах на табачные изделия, производимые на территории Российской Федерации, а также формата представления уведомления о максимальных розничных ценах на табачные изделия, производимые на территории Российской Федерации, в электронной форме"
(Зарегистрирован 15.02.2022 № 67292)
Номер опубликования: 0001202202150044
Дата опубликования: 15.02.2022
Страница №4 из 13:
Увеличить