Официальное опубликование правовых актов
ОФИЦИАЛЬНОЕ ОПУБЛИКОВАНИЕ
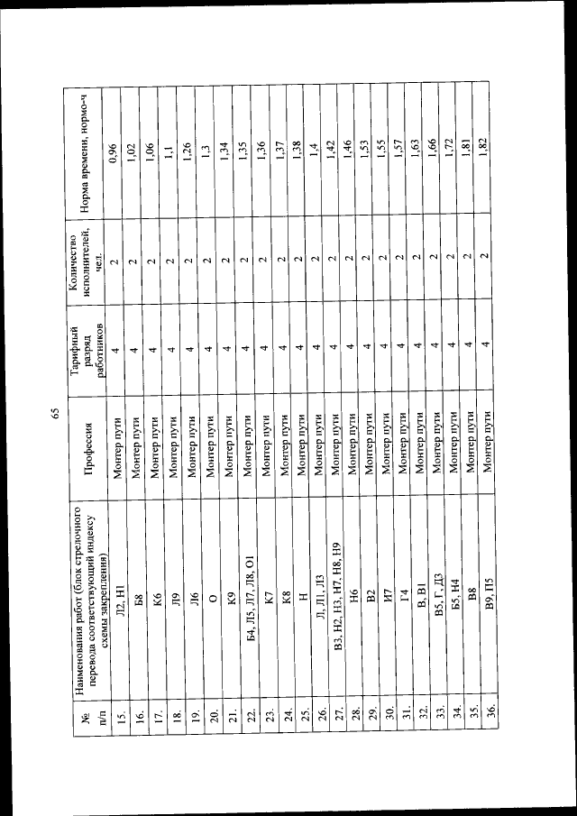
Приказ Министерства транспорта Российской Федерации от 10.08.2021 № 268
"Об утверждении Типовых отраслевых норм времени на работы, выполняемые специализированными строительными и ремонтными организациями на железнодорожных путях общего и необщего пользования"
(Зарегистрирован 28.12.2021 № 66645)
Номер опубликования: 0001202112290063
Дата опубликования: 29.12.2021
Страница №66 из 1787:
Увеличить