Официальное опубликование правовых актов
ОФИЦИАЛЬНОЕ ОПУБЛИКОВАНИЕ
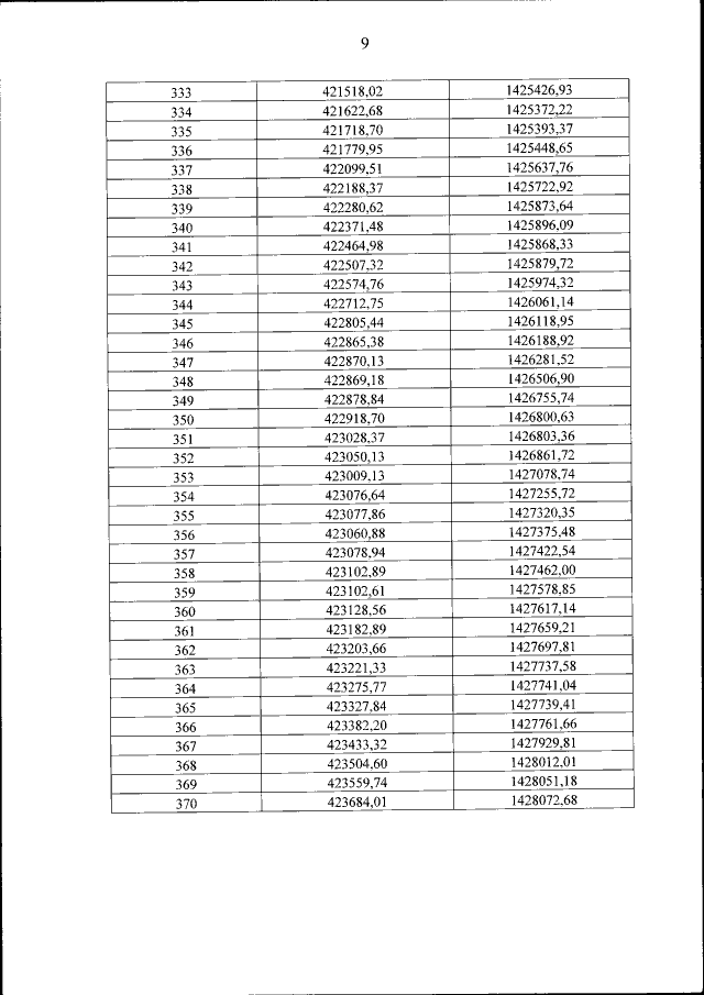
Приказ Министерства природных ресурсов и экологии Российской Федерации от 01.07.2021 № 459
"Об утверждении Положения о государственном природном заповеднике "Уссурийский" им. В.Л. Комарова"
(Зарегистрирован 06.12.2021 № 66206)
Номер опубликования: 0001202112070027
Дата опубликования: 07.12.2021
Страница №17 из 39:
Увеличить