Официальное опубликование правовых актов
ОФИЦИАЛЬНОЕ ОПУБЛИКОВАНИЕ
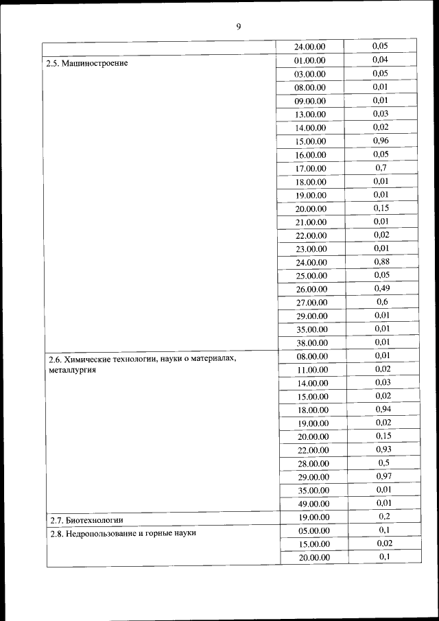
Приказ Министерства науки и высшего образования Российской Федерации от 01.11.2021 № 996
"Об утверждении Порядка проведения конкурса по распределению контрольных цифр приема по специальностям и направлениям подготовки и (или) укрупненным группам специальностей и направлений подготовки для обучения по образовательным программам высшего образования, а также по группам научных специальностей и (или) научным специальностям для обучения по программам подготовки научных и научно-педагогических кадров в аспирантуре (адъюнктуре) за счет бюджетных ассигнований федерального бюджета"
(Зарегистрирован 25.11.2021 № 65981)
Номер опубликования: 0001202111250038
Дата опубликования: 25.11.2021
Страница №70 из 92:
Увеличить