Официальное опубликование правовых актов
ОФИЦИАЛЬНОЕ ОПУБЛИКОВАНИЕ
Приказ Министерства культуры Российской Федерации от 20.04.2021 № 520
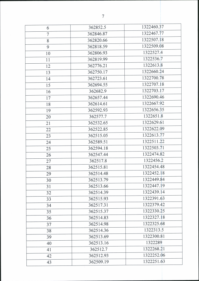
"О включении выявленных объектов культурного наследия в единый государственный реестр объектов культурного наследия (памятников истории и культуры) народов Российской Федерации в качестве объектов культурного наследия федерального значения в составе объекта культурного наследия федерального значения "Усадьба-музей Некрасова Николая Алексеевича", вторая четверть XVIII - начало XX вв. (Ярославская область, Ярославский район, дер. Карабиха, ул. Школьная, д. 2А) и утверждении границ их территории"
(Зарегистрирован 22.07.2021 № 64339)
Номер опубликования: 0001202107220019
Дата опубликования: 22.07.2021
Страница №12 из 13:
Увеличить