Официальное опубликование правовых актов
ОФИЦИАЛЬНОЕ ОПУБЛИКОВАНИЕ
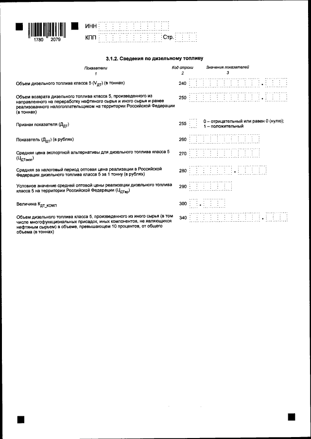
Приказ Федеральной налоговой службы от 31.05.2021 № ЕД-7-3/525@
"Об утверждении формы налоговой декларации по акцизам на нефтяное сырье, порядка ее заполнения, а также формата представления налоговой декларации по акцизам на нефтяное сырье в электронной форме"
(Зарегистрирован 30.06.2021 № 64048)
Номер опубликования: 0001202107010035
Дата опубликования: 01.07.2021
Страница №9 из 49:
Увеличить