Официальное опубликование правовых актов
ОФИЦИАЛЬНОЕ ОПУБЛИКОВАНИЕ
Приказ Министерства здравоохранения Российской Федерации от 18.05.2021 № 462н
"Об утверждении стандартов медицинской помощи взрослым при раке поджелудочной железы"
(Зарегистрирован 11.06.2021 № 63853)
Номер опубликования: 0001202106110064
Дата опубликования: 11.06.2021
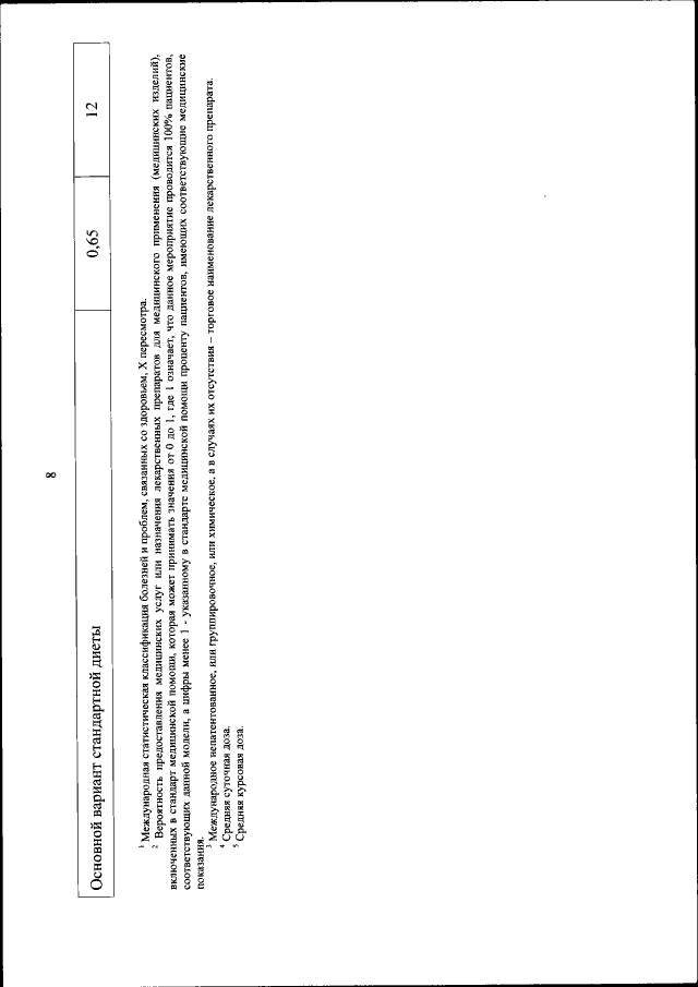
Страница №10 из 13:
Увеличить