Официальное опубликование правовых актов
ОФИЦИАЛЬНОЕ ОПУБЛИКОВАНИЕ
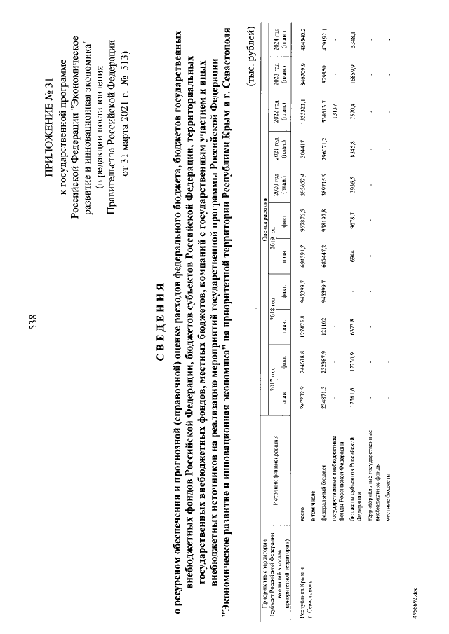
Постановление Правительства Российской Федерации от 31.03.2021 № 513
"О внесении изменений в государственную программу Российской Федерации "Экономическое развитие и инновационная экономика"
Номер опубликования: 0001202104100002
Дата опубликования: 10.04.2021
Страница №541 из 547:
Увеличить