Официальное опубликование правовых актов
ОФИЦИАЛЬНОЕ ОПУБЛИКОВАНИЕ
Приказ Министерства природных ресурсов и экологии Российской Федерации от 28.09.2020 № 741
"Об утверждении Положения о национальном парке "Кыталык"
(Зарегистрирован 06.04.2021 № 62999)
Номер опубликования: 0001202104060036
Дата опубликования: 06.04.2021
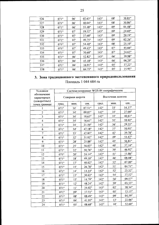
Страница №149 из 168:
Увеличить