Приказ Министерства транспорта Российской Федерации от 26.02.2021 № 53
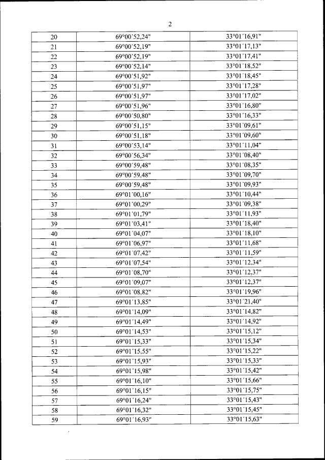
"О внесении изменений в пределы морского грузо-пассажирского постоянного многостороннего пункта пропуска через государственную границу Российской Федерации в морском порту Мурманск (Мурманская область), утвержденные приказом Министерства транспорта Российской Федерации от 27 декабря 2016 г. № 418 "Об открытии морского грузо-пассажирского постоянного многостороннего пункта пропуска через государственную границу Российской Федерации в морском порту Мурманск"
(Зарегистрирован 25.03.2021 № 62870)
"О внесении изменений в пределы морского грузо-пассажирского постоянного многостороннего пункта пропуска через государственную границу Российской Федерации в морском порту Мурманск (Мурманская область), утвержденные приказом Министерства транспорта Российской Федерации от 27 декабря 2016 г. № 418 "Об открытии морского грузо-пассажирского постоянного многостороннего пункта пропуска через государственную границу Российской Федерации в морском порту Мурманск"
(Зарегистрирован 25.03.2021 № 62870)
Номер опубликования: 0001202103260005
Дата опубликования:
26.03.2021
