Официальное опубликование правовых актов
ОФИЦИАЛЬНОЕ ОПУБЛИКОВАНИЕ
Приказ Министерства культуры Российской Федерации от 03.03.2021 № 266
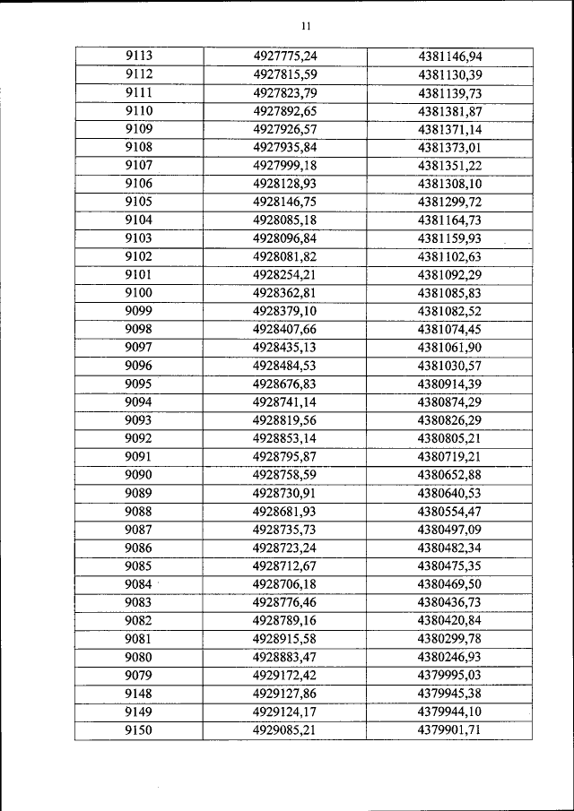
"О внесении изменений в приложения № 1, № 2 к приказу Минкультуры России от 12 августа 2016 г. № 1864 "Об утверждении требований к осуществлению деятельности и градостроительным регламентам в границах территории объекта культурного наследия федерального значения-достопримечательное место "Древний город Херсонес Таврический и крепости Чембало и Каламита"‚ расположенного в городе Севастополе"
(Зарегистрирован 18.03.2021 № 62816)
Номер опубликования: 0001202103180034
Дата опубликования: 18.03.2021
Страница №13 из 16:
Увеличить