Официальное опубликование правовых актов
ОФИЦИАЛЬНОЕ ОПУБЛИКОВАНИЕ
Приказ Федеральной налоговой службы, Федеральной таможенной службы от 11.12.2020 № КЧ-7-15/908@/1087
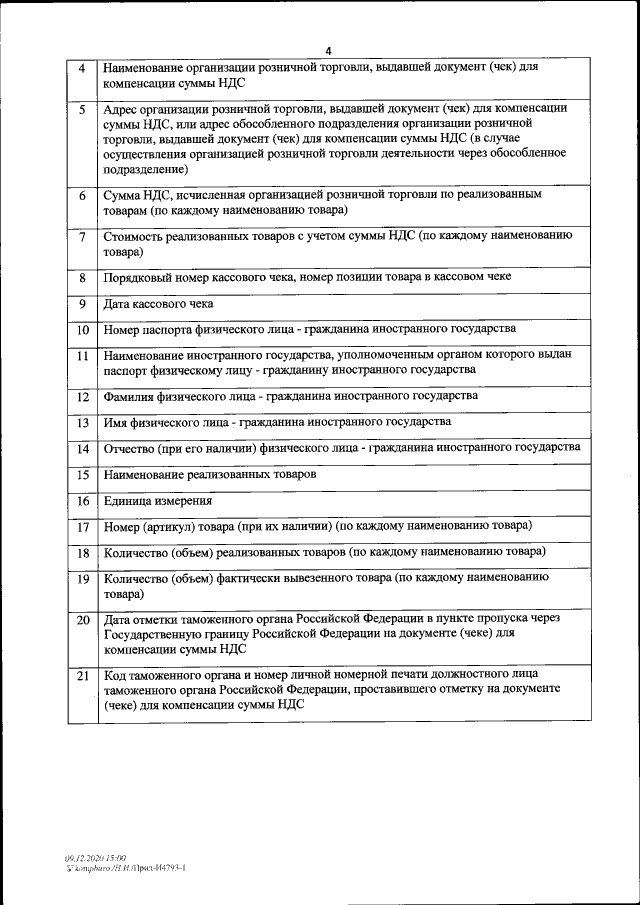
"Об утверждении состава, формата и порядка передачи Федеральной таможенной службой в Федеральную налоговую службу в электронной форме сведений из документов (чеков) для компенсации суммы налога на добавленную стоимость, в том числе из электронных документов (чеков), и сведений о проставленных на таких документах таможенными органами Российской Федерации отметках, указанных в пункте 4 статьи 169-1 Налогового кодекса Российской Федерации"
(Зарегистрирован 16.03.2021 № 62788)
Номер опубликования: 0001202103170043
Дата опубликования: 17.03.2021
Страница №4 из 16:
Увеличить