Официальное опубликование правовых актов
ОФИЦИАЛЬНОЕ ОПУБЛИКОВАНИЕ
Постановление Правительства Российской Федерации от 29.12.2020 № 2351
"О внесении изменений в постановление Правительства Российской Федерации от 27 декабря 2012 г. № 1406"
Номер опубликования: 0001202012310098
Дата опубликования: 31.12.2020
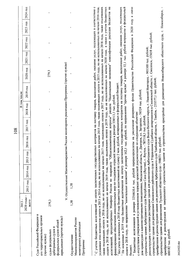
Страница №109 из 117:
Увеличить