Официальное опубликование правовых актов
ОФИЦИАЛЬНОЕ ОПУБЛИКОВАНИЕ
Приказ Федеральной службы по экологическому, технологическому и атомному надзору от 15.12.2020 № 535
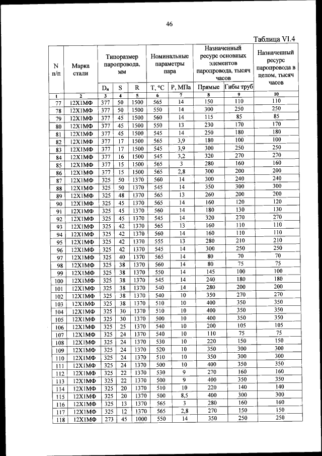
"Об утверждении федеральных норм и правил в области промышленной безопасности "Правила осуществления эксплуатационного контроля металла и продления срока службы основных элементов котлов и трубопроводов тепловых электростанций"
(Зарегистрирован 31.12.2020 № 61985)
Номер опубликования: 0001202012310063
Дата опубликования: 31.12.2020
Страница №47 из 182:
Увеличить