Официальное опубликование правовых актов
ОФИЦИАЛЬНОЕ ОПУБЛИКОВАНИЕ
Приказ Министерства культуры Российской Федерации от 18.11.2020 № 1449
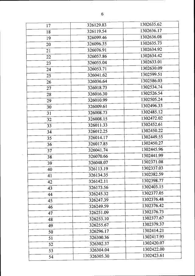
"О включении выявленных объектов культурного наследия в единый государственный реестр объектов культурного наследия (памятников истории культуры) народов Российской Федерации в качестве объектов культурного наследия федерального значения в составе объекта культурного наследия федерального значения "Ансамбль Ростовского Кремля", XII - XVI, XVII - XX вв. (Ярославская обл., Ростовский р-н, г. Ростов, Кремль; Советский пер.‚ 1, 3/2, ул. 50 лет Октября, 2/3, 2; ул. Каменный Мост, д.1; пл. Соборная, д. 8; ул. К. Маркса, 25-а) и утверждении границ их территории"
(Зарегистрирован 14.12.2020 № 61440)
Номер опубликования: 0001202012140080
Дата опубликования: 14.12.2020
Страница №15 из 16:
Увеличить