Официальное опубликование правовых актов
ОФИЦИАЛЬНОЕ ОПУБЛИКОВАНИЕ
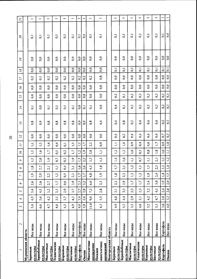
Приказ Министерства сельского хозяйства Российской Федерации от 02.10.2020 № 589
"Об утверждении Плана сельскохозяйственного страхования на 2021 год"
(Зарегистрирован 05.11.2020 № 60755)
Номер опубликования: 0001202011060023
Дата опубликования: 06.11.2020
Страница №27 из 83:
Увеличить