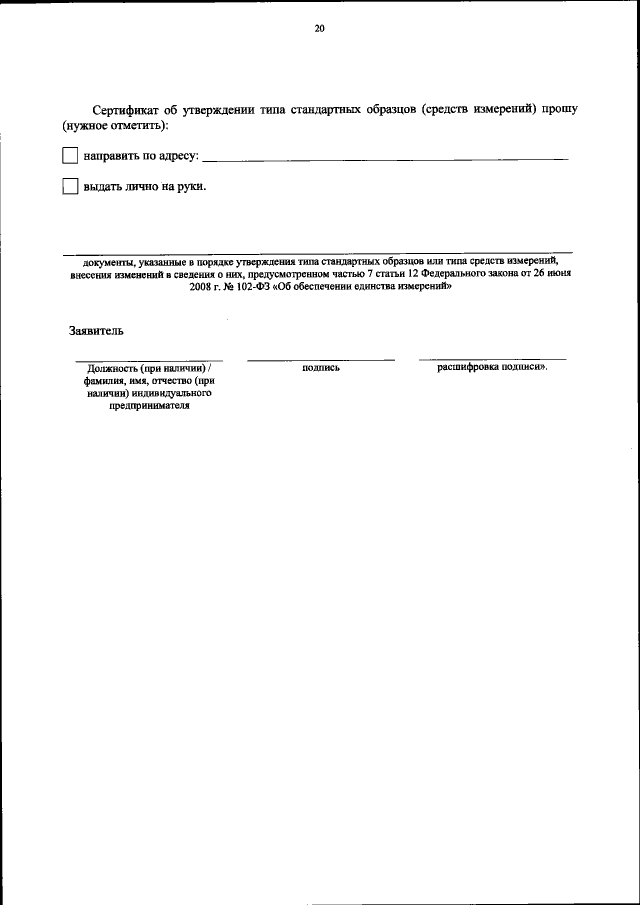
Приказ Федерального агентства по техническому регулированию и метрологии от 17.08.2020 № 1404
"О внесении изменений в Административный регламент по предоставлению Федеральным агентством по техническому регулированию и метрологии государственной услуги по утверждению типа стандартных образцов или типа средств измерений, утвержденный приказом Федерального агентства по техническому регулированию и метрологии от 12 ноября 2018 г. № 2346"
(Зарегистрирован 21.10.2020 № 60490)
"О внесении изменений в Административный регламент по предоставлению Федеральным агентством по техническому регулированию и метрологии государственной услуги по утверждению типа стандартных образцов или типа средств измерений, утвержденный приказом Федерального агентства по техническому регулированию и метрологии от 12 ноября 2018 г. № 2346"
(Зарегистрирован 21.10.2020 № 60490)
Номер опубликования: 0001202010210029
Дата опубликования:
21.10.2020
