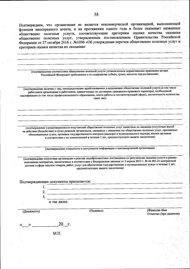
Приказ Министерства культуры Российской Федерации от 07.07.2020 № 748
"Об утверждении Административного регламента предоставления Министерством культуры Российской Федерации государственной услуги по оценке качества оказания общественно полезных услуг социально ориентированной некоммерческой организацией"
(Зарегистрирован 22.09.2020 № 59972)
"Об утверждении Административного регламента предоставления Министерством культуры Российской Федерации государственной услуги по оценке качества оказания общественно полезных услуг социально ориентированной некоммерческой организацией"
(Зарегистрирован 22.09.2020 № 59972)
Номер опубликования: 0001202009220037
Дата опубликования:
22.09.2020
