Официальное опубликование правовых актов
ОФИЦИАЛЬНОЕ ОПУБЛИКОВАНИЕ
Приказ Министерства транспорта Российской Федерации от 06.03.2020 № 66
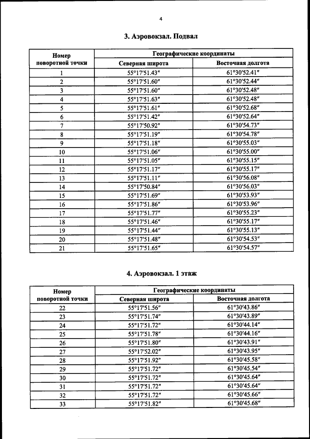
"Об утверждении пределов воздушного грузо-пассажирского постоянного многостороннего пункта пропуска через государственную границу Российской Федерации в международном аэропорту Челябинск (Баландино) (Челябинская область)"
(Зарегистрирован 04.06.2020 № 58590)
Номер опубликования: 0001202006050020
Дата опубликования: 05.06.2020
Страница №5 из 9:
Увеличить