Официальное опубликование правовых актов
ОФИЦИАЛЬНОЕ ОПУБЛИКОВАНИЕ
Приказ Министерства транспорта Российской Федерации от 31.01.2020 № 36
"Об утверждении пределов воздушного грузо-пассажирского постоянного многостороннего пункта пропуска через государственную границу Российской Федерации в международном аэропорту Астрахань (Нариманово) (Астраханская область)"
(Зарегистрирован 13.05.2020 № 58326)
Номер опубликования: 0001202005130044
Дата опубликования: 13.05.2020
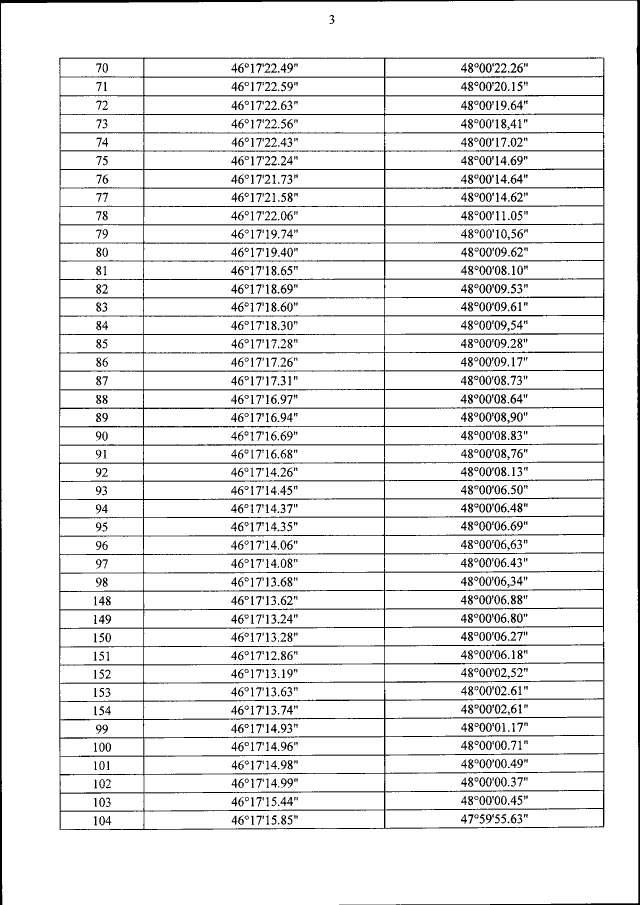
Страница №4 из 9:
Увеличить