Официальное опубликование правовых актов
ОФИЦИАЛЬНОЕ ОПУБЛИКОВАНИЕ
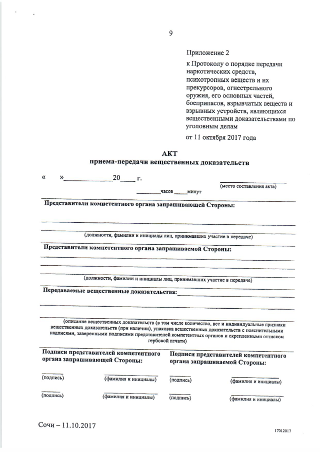
Протокол о порядке передачи наркотических средств, психотропных веществ и их прекурсоров, огнестрельного оружия, его основных частей, боеприпасов, взрывчатых веществ и взрывных устройств, являющихся вещественными
доказательствами по уголовным делам, от 11 октября 2017 г. (ратифицирован Федеральным законом от 1 мая 2019 г. № 68-ФЗ с оговоркой, вступил в силу для Российской Федерации 11 марта 2020 г.)
Номер опубликования: 0001202003120031
Дата опубликования: 12.03.2020
Страница №9 из 12:
Увеличить