Официальное опубликование правовых актов
ОФИЦИАЛЬНОЕ ОПУБЛИКОВАНИЕ
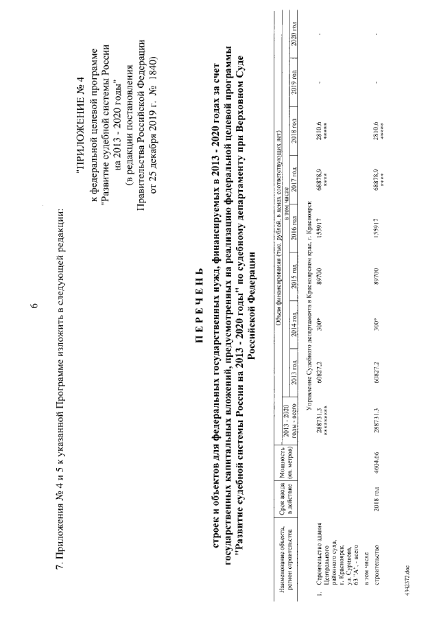
Постановление Правительства Российской Федерации от 25.12.2019 № 1840
"О внесении изменений в федеральную целевую программу "Развитие судебной системы России на 2013 -2020 годы"
Номер опубликования: 0001201912310071
Дата опубликования: 31.12.2019
Страница №7 из 76:
Увеличить