Официальное опубликование правовых актов
ОФИЦИАЛЬНОЕ ОПУБЛИКОВАНИЕ
Приказ Управления делами Президента Российской Федерации от 13.11.2019 № 442
"Об утверждении Положения о национальном парке "Крымский"
(Зарегистрирован 18.12.2019 № 56871)
Номер опубликования: 0001201912200045
Дата опубликования: 20.12.2019
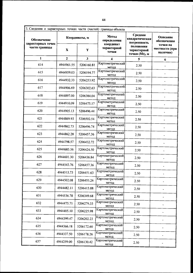
Страница №45 из 120:
Увеличить