Официальное опубликование правовых актов
ОФИЦИАЛЬНОЕ ОПУБЛИКОВАНИЕ
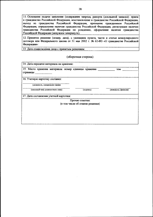
Приказ Министерства внутренних дел Российской Федерации от 16.09.2019 № 623
"Об утверждении инструкции об организации деятельности Министерств внутренних дел Российской Федерации и его территориальных органов при рассмотрении заявлений по вопросам гражданства Российской Федерации и принятии по ним решений"
(Зарегистрирован 12.11.2019 № 56496)
Номер опубликования: 0001201911120054
Дата опубликования: 12.11.2019
Страница №38 из 61:
Увеличить