Приказ Министерства культуры Российской Федерации от 30.09.2019 № 1449
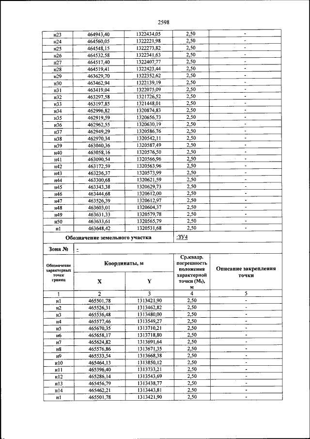
"Об утверждении требований к осуществлению деятельности и градостроительным регламентам в границах территории объекта культурного наследия федерального значения - Достопримечательное место "Есенинская Русь - место, связанное с жизнью и творчеством поэта (С.А.Есенина"‚ расположенного но адресу: Рязанская область, Рыбновский район, Рязанский район, г. Рязань"
(Зарегистрирован 06.11.2019 № 56421)
"Об утверждении требований к осуществлению деятельности и градостроительным регламентам в границах территории объекта культурного наследия федерального значения - Достопримечательное место "Есенинская Русь - место, связанное с жизнью и творчеством поэта (С.А.Есенина"‚ расположенного но адресу: Рязанская область, Рыбновский район, Рязанский район, г. Рязань"
(Зарегистрирован 06.11.2019 № 56421)
Номер опубликования: 0001201911110030
Дата опубликования:
11.11.2019
