Официальное опубликование правовых актов
ОФИЦИАЛЬНОЕ ОПУБЛИКОВАНИЕ
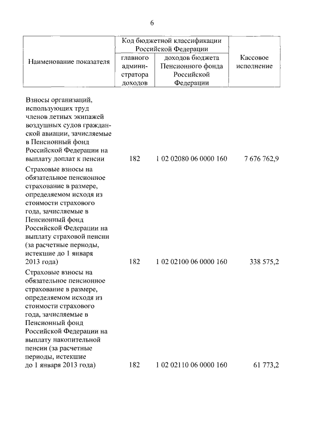
Федеральный закон от 16.10.2019 № 333-ФЗ
"Об исполнении бюджета Пенсионного фонда Российской Федерации за 2018 год"
Номер опубликования: 0001201910160028
Дата опубликования: 16.10.2019
Страница №6 из 98:
Увеличить