Официальное опубликование правовых актов
ОФИЦИАЛЬНОЕ ОПУБЛИКОВАНИЕ
Приказ Федеральной налоговой службы, Федеральной таможенной службы от 21.06.2019 № ММВ-7-15/319@/1009
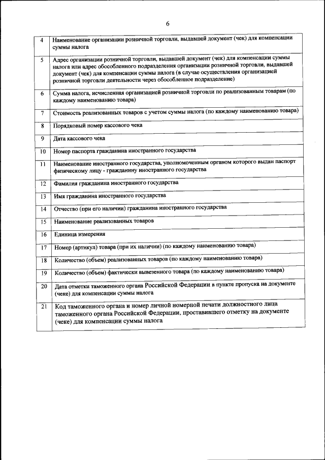
"Об утверждении состава, формата и порядка передачи Федеральной таможенной службой в Федеральную налоговую службу сведений из документов (чеков) для компенсации суммы налога на добавленную стоимость и сведений о проставленных таможенными органами Российской Федерации отметках на документах (чеках) для компенсации суммы налога на добавленную стоимость в электронной форме"
(Зарегистрирован 07.10.2019 № 56156)
Номер опубликования: 0001201910080029
Дата опубликования: 08.10.2019
Страница №6 из 16:
Увеличить