Приказ Министерства культуры Российской Федерации от 06.06.2019 № 722
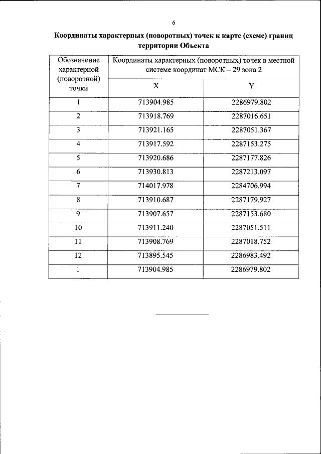
"Об утверждении границ и режима использования территории объекта культурного наследия федерального значения "Большая дамба на озере Красное", начало ХХ века, расположенного по адресу: Архангельская область, Приморский район, остров Большой Соловецкий, входящего в состав объекта культурного наследия федерального значения "Ансамбль Соловецкого монастыря и отдельные сооружения островов Соловецкого архипелага, ХVI век - первая половина ХХ века"
(Зарегистрирован 15.07.2019 № 55260)
"Об утверждении границ и режима использования территории объекта культурного наследия федерального значения "Большая дамба на озере Красное", начало ХХ века, расположенного по адресу: Архангельская область, Приморский район, остров Большой Соловецкий, входящего в состав объекта культурного наследия федерального значения "Ансамбль Соловецкого монастыря и отдельные сооружения островов Соловецкого архипелага, ХVI век - первая половина ХХ века"
(Зарегистрирован 15.07.2019 № 55260)
Номер опубликования: 0001201907160027
Дата опубликования:
16.07.2019
