Официальное опубликование правовых актов
ОФИЦИАЛЬНОЕ ОПУБЛИКОВАНИЕ
Приказ Министерства цифрового развития, связи и массовых коммуникаций Российской Федерации от 20.06.2019 № 340
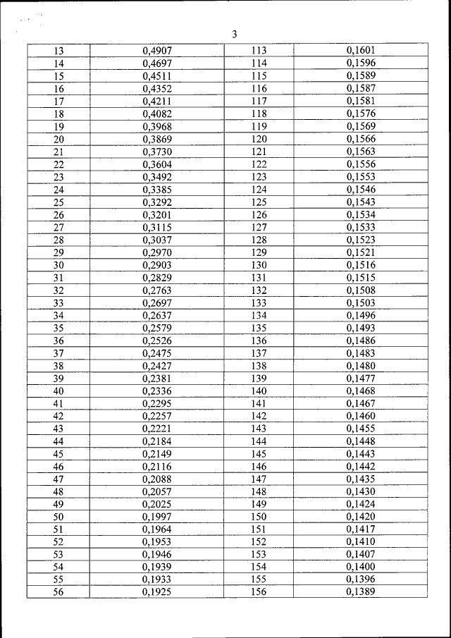
"О внесении изменений в Методику определения размера платы за оказание платной услуги по экспертизе возможности использования заявленных радиоэлектронных средств и их электромагнитной совместимости с действующими и планируемыми для использования радиоэлектронными средствами, утвержденную приказом Министерства связи и массовых коммуникаций Российской Федерации от 26.12.2011 № 355"
(Зарегистрирован 12.07.2019 № 55230)
Номер опубликования: 0001201907120026
Дата опубликования: 12.07.2019
Страница №3 из 5:
Увеличить