Официальное опубликование правовых актов
ОФИЦИАЛЬНОЕ ОПУБЛИКОВАНИЕ
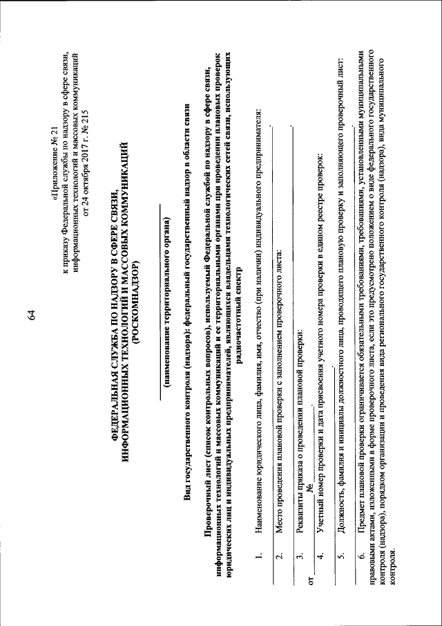
Приказ Федеральной службы по надзору в сфере связи, информационных технологий и массовых коммуникаций от 10.04.2019 № 68
"О внесении изменений в приказ Федеральной службы по надзору в сфере связи, информационных технологий и массовых коммуникаций от 24 октября 2017 г. № 215"
(Зарегистрирован 03.07.2019 № 55122)
Номер опубликования: 0001201907040021
Дата опубликования: 04.07.2019
Страница №64 из 65:
Увеличить