Официальное опубликование правовых актов
ОФИЦИАЛЬНОЕ ОПУБЛИКОВАНИЕ
Приказ Министерства культуры Российской Федерации от 29.03.2019 № 360
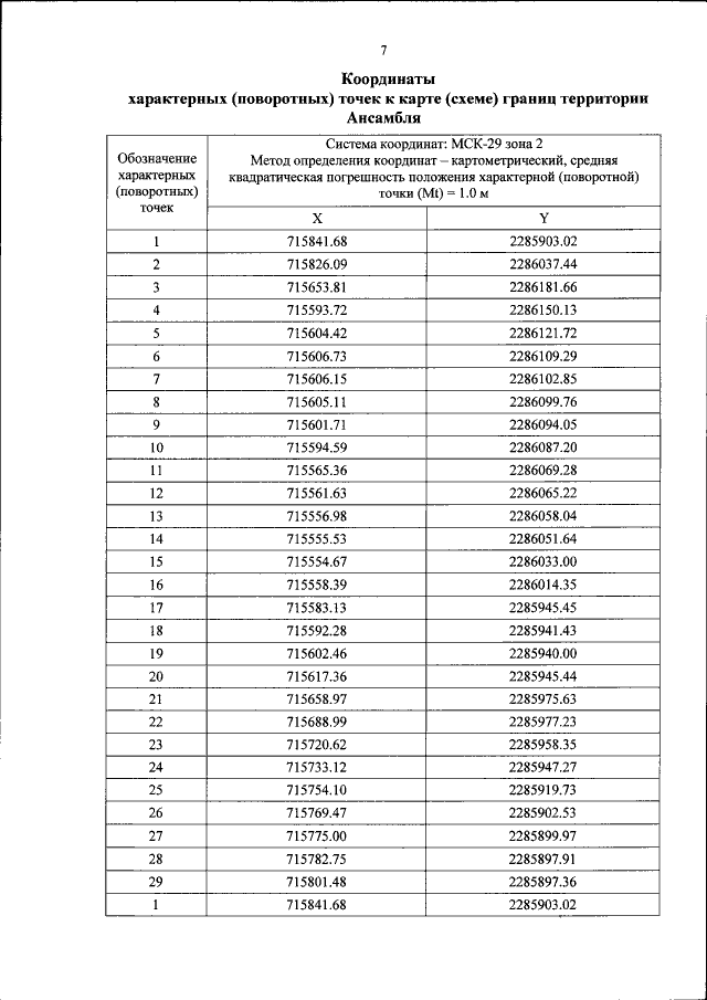
"Об утверждении границ и режима использования территории объекта культурного наследия федерального значения "Савватиевский скит", вторая половина XIX в.‚ расположенного по адресу: Архангельская область, Приморский район, остров Большой Соловецкий, скит Савватьево, входящего в состав объекта культурного наследия федерального значения "Ансамбль Соловецкого монастыря и отдельные сооружения островов Соловецкого архипелага, XVI век - первая половина XX века" (Архангельская область)"
(Зарегистрирован 28.06.2019 № 55081)
Номер опубликования: 0001201907010011
Дата опубликования: 01.07.2019
Страница №7 из 10:
Увеличить